圆柱的侧面积是什么?
的有关信息介绍如下:圆柱的侧面积=底面的周长×高。
S侧=Ch(C表示底面的周长,h表示圆柱的高)
圆柱的表面积=侧面积+两个底面积(S表=S侧+2S底)
侧面积的定义则为:
①立体图形的侧面展开图的面积(以区别于底面积);
②物体的侧表面或围成的图形表面的大小,叫作它们的侧面积。
涉及侧面积的几何图形包括长方体、正方体、圆锥、直柱体和棱柱等。
侧面积:物体侧面的面积,叫做物体的侧面积。
底面积:物体底面的面积,叫做物体的底面积。
表面积:物体表面的面积总和。叫做物体的表面积.也叫做物体的全面积,它包括物体的侧面积和底面积。

扩展资料:
圆锥是将其沿着母线剪开,得到圆锥的侧面展开图——扇形,可利用扇形面积公式计算。
圆锥的侧面展开图是一个扇形,其半径等于圆锥的母线长,弧长等于圆锥的底面周长,如图,若圆锥的底面半径为r,母线长为
,则它的侧面积为:
。圆锥的全面积为圆锥的侧面积和底面积的和,即
。
利用圆锥的侧面积可求圆锥上两点间的最短距离。
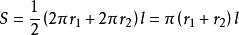
圆台的侧面积
圆台的侧面积等于它的两个底面周长的和与母线的长的乘积的二分之一。
如果圈台的上、下底面半径分别为
。母线长为
,侧面积为
。
参考资料:百度百科---侧面积



