1cc的水等于多少ml
的有关信息介绍如下:1cc的水等于多少1ml。
1L=1000mL
1毫升=1西西(cc).
1毫升液态水=1立方厘米液态水
1毫升液态水在4摄氏度时的重量为1克。
1毫升=1立方厘米
那么1cc=1毫升
所以1cc的水等于多少1ml。

扩展资料:
容积换算表:

体积计算公式:
长方体:
(长方体体积=长×宽×高)
正方体:
(正方体体积=棱长×棱长×棱长)
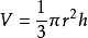
圆柱(正圆):
【圆柱(正圆)体积=圆周率×(底半径×底半径)×高】
以上立体图形的体积都可归纳为:
(底面积×高)
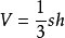
圆锥(正圆):
【圆锥(正圆)体积=圆周率×底半径×底半径×高/3】
角锥:
【角锥体积=底面积×高/3】
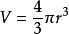
球体:
【球体体积=4/3(圆周率×半径的三次方)】
棱台:
注:V:体积;S1:上表面积;S2:下表面积;H:高。
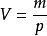
物理公式:

参考资料来源:百度百科—毫升



