2015高考志愿指南:2014大学录取分数线排名
的有关信息介绍如下:综合排行
高考结束,最重要的志愿填报就要开始了,虽然分数还没出炉,但已经有不少同学以及着急的父母在物色大学了,小编这有一份2015高考志愿指南可以帮助广大学生作为报考参考哦,那就是华东师范大学社会调查中心最近发布的《中国大学录取分数排行榜(2014年版)》。
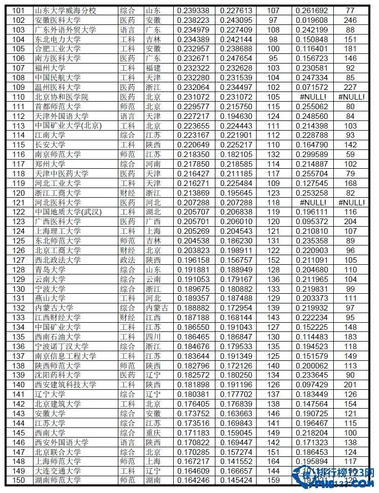
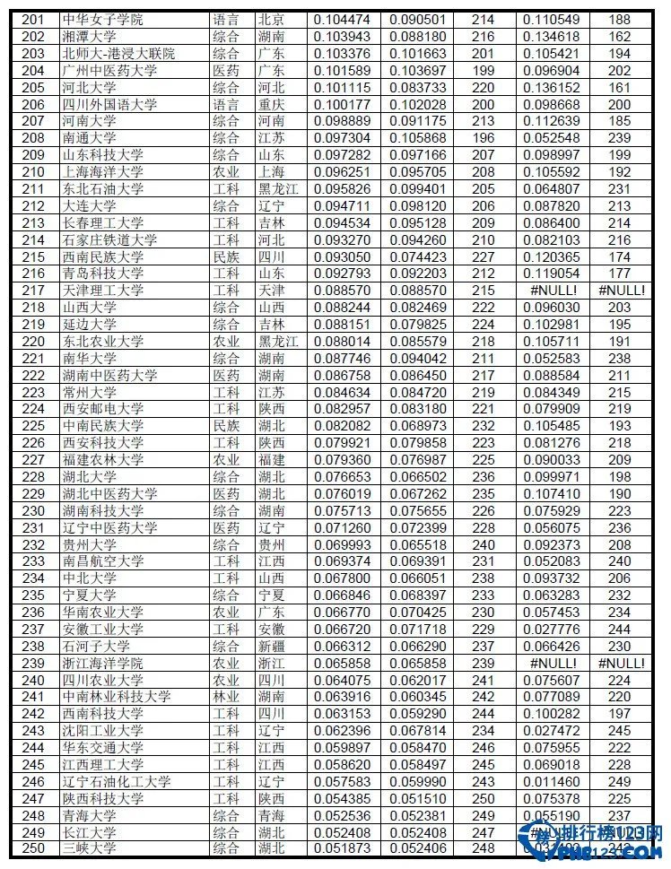
据了解,榜单中的排名是基于2005年到2013年中国中国各高校在全国30个省、直辖市与自治区第一批录取的文理科平均分和文理科录取的人数计算再汇总的。
该榜单分总指数、理科指数与文科指数三个指标。文理科指数分别是以多个文理科招生单元为单位,计算出来的值的加权平均数。而总指数,是文科指数与理科指数的加权平均数。值得一提的是,大学录取分数的高低与学校所在地也高度关联,像地处直辖市与沿海地区的院校就更受追捧。其中,北京、上海、天津、江苏与广东分列前5位。下面是榜单详情。
2014大学录取分数线排名






提醒:目前国内大学评价体系指标主观性很大,争议也很多,这个排行榜可以是考生和家长关于“录取行情”的客观参考,但并不反映各所学校综合实力的强弱。



