什么叫做两点之间的距离
的有关信息介绍如下:在平面上,以这两点为端点的线段的长度就是这两点间的距离。(因为两个点之间的直线距离最短)
两点间距离公式常让型用于函数图形内求两点之间距离、求点的坐标的基本公式,是距离公式之一。两点间距离公式叙述了点和点之间距离的关系。
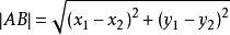
设两个点A、B以及坐标分别为
、
,则A和B两点之间的距离为:

扩展资料:
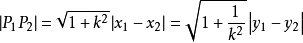
直线上两点间的距离公式毁散:
设直线
的方程为
,点
,
为该线上任意两点,则
这一公式即所谓圆锥曲线的弦长公式。若记
为直线AB的倾纤滑氏斜角,则
同时,若已知直线公式和其中一个点,并且给定了距离,可以反求另一个点的坐标。
参考资料来源:百度百科——两点间距离公式



